Современные взгляды на возраст и комплексность мышления
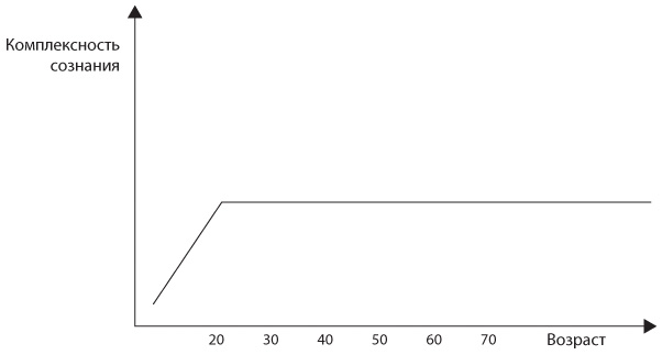
Идеи и методики, которые вы найдете в этой книге, показывают ошибочность современных взглядов на развитие сознания человека в течение жизни. Когда мы начинали нашу работу, считалось, что процесс психического развития человека аналогичен процессу физического развития его организма. Считалось, что человек перестает расти и развиваться к 20 годам. Физический рост большинства людей прекращается после 20 с небольшим. Если 30 лет назад вы попросили бы экспериментаторов нарисовать график, одна из осей которого отражала бы уровень способностей человека к «комплексному мышлению», а другая – его возраст, они уверенно показали бы вам что-то похожее на рис. 1.1: круто растущая линия, доходящая до отметки «20 лет», и горизонтальная линия дальше. И сделали бы они это с абсолютной уверенностью.

Рис. 1.1. Взаимосвязь между возрастом и уровнем комплексности сознания: 30 лет назад
В 1980-х мы стали сообщать о результатах наших исследований, которые позволяли сделать выводы о том, что некоторые (хотя и не все) люди проходят процесс качественного усложнения сознания уже во взрослом возрасте. Причем усложнение по форме напоминало квантовые скачки сознания от раннего детства к позднему и от позднего детства к подростковому периоду. Когда мы докладывали о наших результатах на серьезных научных форумах, сидящие рядом нейрофизиологи встречали наши доклады с вежливым презрением. «Вы можете считать, что ваши выводы вытекают из лонгитюдных[5] исследований, – говорили они. – Но точная наука не допускает бездоказательных умозаключений. Мы смотрим на вещи реально. По завершении позднеподросткового периода мозг не претерпевает значимых изменений. Уж извините!» Разумеется, эти «естественнонаучники» не отрицали, что люди постарше иногда проявляют большую мудрость и знания, чем молодежь. Но они считали, что это следствие опыта, который позволял «вытянуть» больше из неизменных ментальных способностей, а никак не качественного улучшения или усложнения самих способностей.
И что же теперь, 30 лет спустя? Оказалось, умозрительные выводы делали все, включая нейрофизиологов, думавших, будто они наблюдают «непосредственную реальность» исследуемого объекта. Сегодня экспериментальная база у них побогаче. И теперь мозг не кажется им таким же, как 30 лет назад. Они говорят о нейропластичности и признают феноменальную способность мозга приспосабливаться к окружающей среде на протяжении всей жизни.
А что если бы нас попросили нарисовать тот же график зависимости уровня комплексности сознания от возраста сегодня? На основе 30-летних лонгитюдных исследований, проведенных нами и нашими коллегами – в результате скрупулезного изучения ответов сотен людей, которых мы опрашивали с интервалами в несколько лет, – мы нарисовали бы этот график так, как на рис. 1.2.

Рис. 1.2. Взаимосвязь между возрастом и уровнем комплексности сознания: современный взгляд
Теперь нам понятны два момента.
• При достаточно большой выборке можно выявить умеренно стремящуюся вверх кривую. С точки зрения общей популяции комплексность сознания, как правило, повышается с возрастом – в течение всей взрослой жизни, по крайней мере до старости. Так что его развитие не заканчивается в 20 лет.
• В рамках любой возрастной группы есть вариации. Например, любой из шести человек, которым исполнилось 30 лет (более темные точки), может находиться на своей, отличной от других стадии развития сознания. Сознание некоторых 30-летних может оказаться более комплексным, чем 40-летних.
Если бы нам предстояло быстро нарисовать картину того, что мы узнали о траектории психического развития человека во взрослом возрасте, то получилось бы что-то похожее на рис. 1.3.

Рис. 1.3. Траектория психического развития человека во взрослом возрасте
Этот график позволяет сделать следующие выводы.
• Есть различимые уровни – плато. Границы между ними не произвольны. Каждый – отдельный способ познания мира.
• Развитие не непрерывно: бывают периоды стабильности и перемен. Когда человек достигает очередного плато, он долго остается на этом уровне (хотя возможно расширение его познаний и компетенций). Интервалы между переходами на новые уровни (периоды нахождения на плато) со временем удлиняются. Изображенная на графике кривая становится тоньше, означая снижение вероятности достижения новых, более высоких плато. Каковы уровни комплексности сознания у взрослых? Можно ли говорить о том, что человек может увидеть или сделать на более высоком уровне, а на низком – нет? Сегодня мы знаем многое об этих уровнях. Они не показывают, насколько вы умны в обычном понимании. Комплексность сознания не измеряется объемом знаний или коэффициентом интеллекта (IQ). Она не подразумевает способность к постижению сложных материй вроде бесконечных формул физика-теоретика размерами со школьную доску.
Более 800 000 книг и аудиокниг! 📚
Получи 2 месяца Литрес Подписки в подарок и наслаждайся неограниченным чтением
ПОЛУЧИТЬ ПОДАРОКДанный текст является ознакомительным фрагментом.