1.2. Будущая стоимость денежного потока
Предположим, что денежная сумма Р инвестирована на Т лет под годовую процентную ставку r(m) при начислении процентов m раз в год. Тогда будущая стоимость (future value) инвестиции может быть найдена следующим образом:

Если же денежная сумма Р инвестирована под годовую процентную ставку
при непрерывном начислении процентов, то будущая стоимость инвестиции определяется равенством:

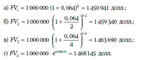
Пример 1.1. Денежная сумма в 1 млн долл. инвестирована на 6 лет под годовую процентную ставку 6,4 %. Определим будущую стоимость инвестиции, если проценты начисляются: а) один раз в год; б) дважды в год; в) ежеквартально; г) непрерывно:

Очевидно, что будущая стоимость инвестиции возрастает при:
а) увеличении срока;
б) возрастании годовой процентной ставки;
в) росте частоты начисления процентов.
Годовые процентные ставки называют эквивалентными, если при инвестировании любой суммы Р под эти ставки на один и тот же срок совпадают будущие стоимости.
В частности, годовые процентные ставки r(m) и r(n) при начислении процентов m и n раз соответственно оказываются эквивалентными тогда и только тогда, когда

Годовая процентная ставка
при непрерывном начислении процентов эквивалентна годовой процентной ставке r(m) при начислении процентов m раз в год тогда и только тогда, когда

Пример 1.2. Банк предлагает по депозитам годовую процентную ставку в 8 % при начислении процентов один раз в год. Какую годовую процентную ставку можно требовать при начислении процентов: а) дважды в год; б) ежеквартально; в) непрерывно?

Предположим теперь, что инвестору обещают через t1, t2…., tn лет денежные суммы Pt1, Pt2…., Ptn соответственно. Если инвестор предполагает инвестировать все поступающие денежные суммы под одну и ту же годовую процентную ставку, то через Т лет будущая стоимость денежного потока будет равна:


Какова будущая стоимость денежного потока через 3 года, если инвестор предполагает инвестировать поступающие денежные суммы под 7 % при начислении процентов: а) дважды в год; б) непрерывно?

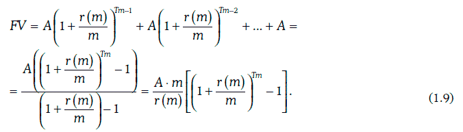
Если одну и ту же денежную сумму выплачивают (или получают) периодически в течение ряда лет, то соответствующий денежный поток называют рентой[13] (annuity). Промежуток времени между двумя соседними платежами – это рентный период. Ренту называют обыкновенной (ordinary annuity), если первый рентный платеж приходится в точности на конец одного рентного периода.
Рассмотрим обыкновенную ренту размером А сроком на Т лет, рентный период которой составляет
года. По данной ренте будут произведены Тт платежей одной и той же величины А, причем i-й платеж (i = 1, 2…., Тт) должен быть произведен через
лет.

Если предположить, что все рентные платежи будут инвестироваться под одну и ту же годовую процентную ставку r(m) при начислении процентов m раз в год, то будущая стоимость обыкновенной ренты через Т лет может быть определена следующим образом:

Так как

то

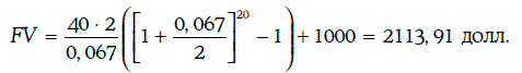
Пример 1.4. Менеджер покупает облигацию, по которой выплачиваются проценты в размере 40 долл. каждые полгода в течение 10 лет и номинальная стоимость в 1000 долл. в конце десятого года. Определим будущую стоимость инвестиции через 10 лет, если все платежи реинвестируются под 6,7 %, а первый процентный платеж производится через 6 месяцев.
Денежный поток, определяемый облигацией, представляет собой обыкновенную ренту, в которой А = 40 долл., m = 2, Т = 10 лет, и выплату 1000 долл. в конце десятого года. Отсюда
Более 800 000 книг и аудиокниг! 📚
Получи 2 месяца Литрес Подписки в подарок и наслаждайся неограниченным чтением
ПОЛУЧИТЬ ПОДАРОКДанный текст является ознакомительным фрагментом.