1.4. Внутренняя доходность финансовых инструментов
Внутренней доходностью (internal rate of return – IRR) финансового инструмента называют процентную ставку, при которой приведенная стоимость потока платежей по данному финансовому инструменту совпадает с его рыночной ценой.
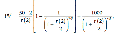
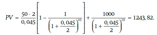
Пример 1.8. Финансовый инструмент продается по цене 1243,82 долл., и по нему каждые 6 месяцев выплачивается по 50 долл. в течение 5 лет и еще 1000 долл. в конце пятого года. Покажем, что внутренняя доходность данного финансового инструмента при начислении процентов дважды в год составляет 4,5 %.
Приведенная стоимость денежного потока по данному финансовому инструменту определяется следующим образом:

где r(2) – годовая процентная ставка при начислении процентов дважды в год.
При r(2) = 0,045 имеем

Так как приведенная стоимость денежного потока, определяемого финансовым инструментом, совпала с его рыночной ценой, то внутренняя доходность этого инструмента действительно равна 4,5 %.
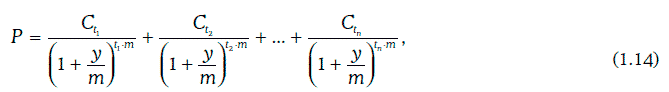
Рассмотрим финансовый инструмент со следующим потоком платежей:

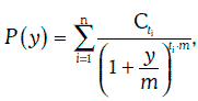
Внутренняя доходность рассматриваемого финансового инструмента при начислении процентов m раз в год является решением уравнения:

где Р – рыночная цена финансового инструмента.
Функция
стоящая в правой части уравнения (1.14), всегда является убывающей и выпуклой. График функции изображен на рис. 1.1.

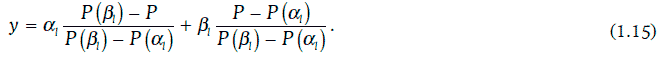
Для решения уравнения (1.14) можно использовать метод проб и ошибок. Вначале найдем простым подбором числа ?1 и ?1 так, чтобы P(?1) > Р, а P(?1) < Р (рис. 1.2). Тогда искомая внутренняя доходность будет находиться между ?1 и ?1, т. е. у ? (?1, ?1). Промежуток (?1, ?1) разделим на 10 равных частей. И, вычисляя значение функции Р(у) в точках деления, найдем числа ?2 и ?2 так, чтобы:

Тогда у ? (?2, ?2). Повторяя данную процедуру несколько раз, можно найти достаточно малый промежуток (?1, ?1), на котором находится искомая внутренняя доходность. В этом случае искомую внутреннюю доходность можно определить на основе линейной интерполяции:



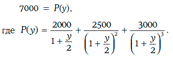
Определим внутреннюю доходность финансового инструмента при начислении процентов дважды в год, если рыночная цена финансового инструмента равна 7000 долл.
Чтобы определить искомую внутреннюю доходность, достаточно решить уравнение:

Так как

то полагаем ?1 = 0,06, ?1 = 0,07. Промежуток (?1, ?1) разделим на 10 равных частей:

Заметим, что P(0,066) = 7000,5057 > 7000; P(0,067) = 6993,3546 < 7000. Значит, можно считать, что ?2 = 0,066, а ?2 = 0,067.
Используя линейную интерполяцию, получим, что

Так как Р(0,06607) = 7000,005, то искомая внутренняя доходность составляет 6,607 %.
Если по данному финансовому инструменту приходится только один платеж, то его внутренняя доходность при начислении процентов m раз в год может быть найдена по формуле:

где С – размер платежа по финансовому инструменту;
Р – рыночная цена финансового инструмента;
Т – срок платежа по финансовому инструменту.
Более 800 000 книг и аудиокниг! 📚
Получи 2 месяца Литрес Подписки в подарок и наслаждайся неограниченным чтением
ПОЛУЧИТЬ ПОДАРОКДанный текст является ознакомительным фрагментом.