1.5. Котируемая цена купонных облигаций
Купонной облигацией (coupon bond) называют финансовый инструмент, по которому периодически выплачиваются купонные проценты вплоть до погашения и номинальная стоимость в момент его погашения.
Отношение суммы купонных платежей за год к номинальной стоимости облигации называют купонной ставкой облигации (coupon rate).
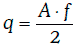
Если f – купонная ставка облигации, то размер одного купонного платежа может быть найден по формуле:

где q – размер купонного платежа;
А – номинальная стоимость облигации;
m – количество купонных выплат за год.
Пример 1.10. Дана 9 %-ная купонная облигация с полугодовыми купонами и номинальной стоимостью 1000 долл. Определим поток платежей по облигации, когда до ее погашения остается 2,25 года.
В данном случае f = 0,09, А = 1000 долл., m = 2. Значит,

и поток платежей по облигации имеет вид:

Цена купонной облигации должна совпадать с приведенной стоимостью потока платежей, обещаемых по этой облигации. Чтобы определить приведенную стоимость потока платежей, необходимо знать ставку дисконтирования, которая в данном случае является требуемой доходностью (required yield).
Требуемая доходность для данной купонной облигации устанавливается на основе исследования внутренних доходностей финансовых инструментов, сравнимых с данной купонной облигацией. При этом учитываются такие факторы, как кредитный рейтинг эмитентов, ликвидность финансовых инструментов и т. д.
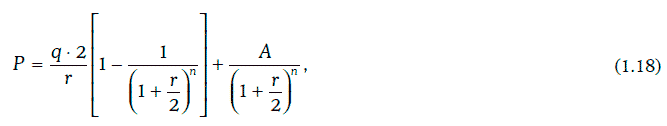
Котируемая цена (clean price) купонных облигаций определяется в моменты времени, когда происходят выплаты очередных купонных платежей. Котируемая цена купонной облигации с полугодовыми купонами может быть найдена по формуле:

где P – котируемая цена облигаций;
– размер одного купонного платежа;
r – требуемая доходность;
А – номинальная стоимость облигации;
n – количество купонных платежей, остающихся до погашения облигации.
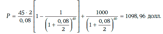
Пример 1.11. Найдем цену 9 %-ной купонной облигации, номинальной стоимостью 1000 долл., когда до ее погашения остается 20 лет, а требуемая доходность составляет 8 %.
В данном случае A = 1000 долл., f = 0,09,
= 45 долл., n = 40, r = 0,08.
Котируемую цену облигации можно найти по формуле (1.18):

Говорят, что купонная облигация продается по номиналу (par value), если ее котируемая цена совпадает с номинальной стоимостью. Купонная облигация продается по номиналу тогда и только тогда, когда купонная ставка облигации равна требуемой доходности.
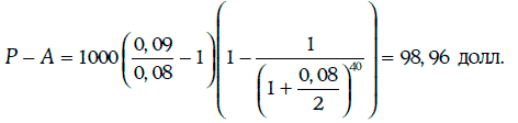
Облигация продается с премией (at a premium), если ее котируемая цена выше номинальной стоимости. Купонная облигация продается с премией тогда и только тогда, когда купонная ставка выше требуемой доходности. Размер премии для облигаций с полугодовыми купонами составляет:

Говорят, что купонная облигация продается с дисконтом (at a discount), если ее котируемая цена ниже номинала. Облигация продается с дисконтом тогда и только тогда, когда купонная ставка облигации меньше требуемой доходности. Размер дисконта можно найти следующим образом:

Пример 1.12. Облигация из примера 1.11 продается с премией, так как ее купонная ставка f = 0,09 выше требуемой доходности r = 0,08. Размер премии можно определить по формуле (1.19):

Если с течением времени требуемая доходность не изменяется, то чем ближе дата погашения облигации, тем меньше размер премии (дисконта).
Зависимость котируемой цены облигации от количества купонных платежей, остающихся до погашения облигации, показана на рис. 1.3.
Котировкой облигации называют отношение

где Р – котируемая цена облигации;
А – номинальная стоимость облигации.
Зная котировку облигации и ее номинальную стоимость, можно найти котируемую цену облигации.
Пример 1.13. Если котировка облигации номинальной стоимостью 5000 долл. равна
то ее котируемая цена равна

Более 800 000 книг и аудиокниг! 📚
Получи 2 месяца Литрес Подписки в подарок и наслаждайся неограниченным чтением
ПОЛУЧИТЬ ПОДАРОКДанный текст является ознакомительным фрагментом.