1.6. Цена купонных облигаций
Рассмотрим некоторую облигацию с полугодовыми купонами. Будем считать, что требуемая доходность известна и равна r.
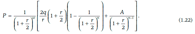
Если расчетная дата приходится на дату купонного платежа, то цена облигации считается равной ее котируемой цене и может быть найдена по формуле (1.18). Если же расчетная дата находится между датами купонных платежей, то цена облигации определяется следующим образом:

где Р – цена облигации;
q – полугодовой купонный платеж;
А – номинальная стоимость облигации;
n – число купонных платежей, остающихся до погашения облигации;
w – отношение числа дней от расчетной даты до очередного купонного платежа к числу дней в купонном периоде.
Формулу (1.21) можно записать и в ином виде:

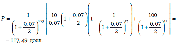
Пример 1.14. Дана 10 %-ная облигация с полугодовыми купонами номиналом 100 долл., погашаемая 1 марта 2003 г. Определим, какова была цена этой облигации 17 июля 1997 г. при требуемой доходности в 7 %.
В данном случае А = 100 долл., q = 5 долл., r = 0,07, n = 12.
При расчете фактического числа дней между двумя датами принято учитывать только одну из этих дат. Тогда число дней между 1 марта и 1 сентября 1997 г. – 184, а между 17 июля и 1 сентября 1997 г. – 46. Значит,

По формуле (1.22) найдем, что

Замечание. В примере 1.14 мы определяли число дней между двумя датами по календарю. Так принято, в частности, на рынке казначейских облигаций США. Этот стандарт расчета числа дней обозначают Actual/Actual. На других рынках облигаций могут использоваться и другие стандарты. Например, стандарт 30/360, когда число дней в любом месяце считается равным 30, а число дней в году – 360.
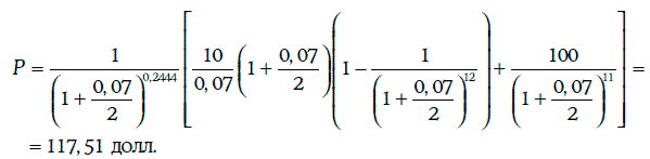
Пример 1.15. Определим цену облигаций из примера 1.14, если на рынке действует стандарт 30/360.
При стандарте 30/360 число дней между 1 марта и 1 сентября считается равным 180, а между 17 июля и 1 сентября – 44. Тогда

В этом случае цена облигации находится следующим образом:

Если покупка облигации производится на бирже, то покупатель обязан уплатить котируемую цену облигации и накопленные проценты (accrued interest), которые рассчитываются следующим образом:

где q – полугодовой купонный платеж;
N1 – число дней от последнего купонного платежа до расчетной даты;
N – число дней в купонном периоде.
Сумму котируемой цены облигации и накопленных процентов называют «грязной» ценой (dirty price).
Пример 1.16. Определим величину накопленных процентов для облигации из примера 1.14.
При использовании стандарта Actual/Actual имеем:

а при стандарте 30/360:
Более 800 000 книг и аудиокниг! 📚
Получи 2 месяца Литрес Подписки в подарок и наслаждайся неограниченным чтением
ПОЛУЧИТЬ ПОДАРОКДанный текст является ознакомительным фрагментом.