1.7.3. Доходность к отзыву
Во многих случаях при эмиссии облигаций оговаривается право эмитента выкупить всю эмиссию или некоторую ее часть до установленной даты погашения облигаций. Такие облигации принято называть отзывными (callable bonds). Для отзывных облигаций заранее устанавливается специальный график отзыва, показывающим цены отзыва в зависимости от времени, прошедшего после даты эмиссии; обычно через определенное время после эмиссии цена отзыва устанавливается выше номинала облигации, а затем она постепенно снижается до номинала.
Доходность к отзыву (yield to call) при условии, что расчетная дата приходится на дату купонного платежа, является решением уравнения следующего вида:

где Р – котируемая цена облигации с полугодовыми купонами;
q – полугодовой купонный платеж;
n* – число купонных платежей, остающихся до рассматриваемой даты отзыва;
А* – цена отзыва в соответствующий момент времени.
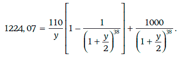
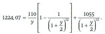
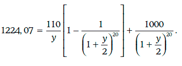
Пример 1.19. Дана 11 %-ная облигация с полугодовыми купонами номиналом 1000 долл. и сроком погашения 19 лет, продающаяся по цене 1224,07 долл. Определим доходность облигации: а) к погашению; б) к отзыву через 6 лет по цене 1055 долл.; в) к отзыву через 10 лет по номиналу.
Доходность к погашению данной облигации должна удовлетворять следующему уравнению:

Решив уравнение, получим, что у = 0,0858. Таким образом, доходность к погашению составляет 8,58 %.
Доходность к отзыву через 6 лет является решением уравнения

Откуда у = 0,0710, т. е. 7,10 %.
Наконец, доходность к отзыву по номиналу равна 7,74 %, так как должна удовлетворять уравнению
Более 800 000 книг и аудиокниг! 📚
Получи 2 месяца Литрес Подписки в подарок и наслаждайся неограниченным чтением
ПОЛУЧИТЬ ПОДАРОКДанный текст является ознакомительным фрагментом.