1.7.5. Маржа дисконтирования
Мера доходности, называемая маржей дисконтирования (discounted margin), применяется только к облигациям с плавающей купонной ставкой (floating-rate securities). В простейшем случае плавающая купонная ставка определяется в установленные моменты времени по формуле:

Маржей дисконтирования называют надбавку к ставке-ориентиру, которую держатель облигации ожидает получить за все время существования облигации, если ставка-ориентир не будет отклоняться от своего текущего уровня.
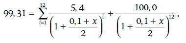
Пример 1.20. Дана 6-летняя облигация с плавающей купонной ставкой номиналом 100 долл. Купонная ставка больше ставки-ориентира на 80 базисных пунктов и определяется каждые 6 месяцев. Определим маржу дисконтирования, если цена облигации 99,31 долл., а текущее значение ставки-ориентира – 10 %.
При определении маржи дисконтирования считается, что ставка-ориентир не меняется с течением времени. Значит, в этом случае полугодовой купонный платеж составит:

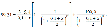
Маржа дисконтирования должна удовлетворять следующему уравнению:

которое можно переписать в виде:

Решив уравнение, получим, что х = 0,0096. Таким образом, маржа дисконтирования составляет 96 базисных пунктов.
Более 800 000 книг и аудиокниг! 📚
Получи 2 месяца Литрес Подписки в подарок и наслаждайся неограниченным чтением
ПОЛУЧИТЬ ПОДАРОКДанный текст является ознакомительным фрагментом.