1.9. Кривые рыночных доходностей
Рассмотрим некоторую купонную облигацию. Каждый отдельный купонный платеж и каждую выплату номинальной стоимости можно интерпретировать как облигацию с нулевым купоном при соответствующем сроке до погашения. В этом случае саму облигацию можно рассматривать как портфель облигаций с нулевыми купонами.
Так как купонная облигация и портфель соответствующих облигаций с нулевыми купонами характеризуются одинаковыми потоками платежей, то должны совпадать и их цены. Следовательно, зная внутренние доходности облигаций с нулевыми купонами, можно найти цену купонной облигации.
Набор внутренних доходностей облигаций с нулевыми купонами, выпущенных эмитентами одного и того же кредитного рейтинга, называют временной структурой процентных ставок (term structure of interest rates).
Графическое изображение временной структуры процентных ставок принято называть кривой (рыночных) доходностей (yield curve, zero coupon curve).
Кривая доходностей может изменяться с течением времени. На рис. 1.4-1.7 показаны примеры кривых рыночных доходностей.
Кривую рыночных доходностей для казначейских (государственных) облигаций называют кривой спот-ставок (spot curve).
Если известна кривая спот-ставок, то можно определить цену любой купонной казначейской облигации.




Например, котируемая цена казначейских облигаций с полугодовыми купонами может быть найдена по следующей формуле:

где Р – котируемая цена облигации;
А – номинальная стоимость облигации;
n – число купонных платежей, остающихся до погашения облигации;
ri – спот-ставка на i полугодовых периодов, i = 1, 2…., n.
Пример 1.23. Дана 8 %-ная казначейская облигация с полугодовыми купонами номиналом 100 долл. Определим цену этой облигации, когда до ее погашения остается 2 года, а спот-ставки на 0,5, 1,0, 1,5 и 2 года соответственно равны 6, 6,5, 6,8 и 7 %.
Согласно формуле (1.26), имеем:

Чтобы построить кривую спот-ставок, необходимо знать рыночные цены облигаций с нулевыми купонами при различных сроках до погашения. Однако обычно облигации с нулевыми купонами выпускаются лишь при небольших сроках до погашения. В таком случае кривую спот-ставок можно смоделировать на основе цен купонных облигаций с разными сроками до погашения.
Пример 1.24. На рынке имеются казначейские облигации с полугодовыми купонами номиналом 100 долл. со следующими данными:

Выясним, как можно построить кривую спот-ставок в данной ситуации.
1. 6-месячную спот-ставку можно найти с помощью первой облигации. Так как должно выполняться равенство

2. Спот-ставку на год можно определить по второй облигации из нашего списка:

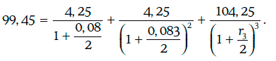
3. Спот-ставку на 1,5 года будем искать с помощью третьей облигации, зная уже найденные спот-ставки r1 и r2.
Так как цена облигации должна совпадать с приведенной стоимостью потока платежей от этой облигации, то

Следовательно, r3 = 0,0893.
4. Спот-ставку r4 найдем с помощью линейной интерполяции:

Тогда должно выполняться следующее равенство:

т. е. мы имеем уравнение с одним неизвестным. Решив это уравнение методом проб и ошибок, получим, что r5 = 0,0948. Тогда

В данном случае кривая спот-ставок имеет нормальный вид (рис. 1.8).

В развитых финансовых системах государственные облигации считаются безрисковыми, а все остальные облигации принято с ними сравнивать. Для сравнения облигаций, выпущенных негосударственными эмитентами, с государственными облигациями можно использовать показатель, называемый спредом нулевой волатильности.
Спредом нулевой волатильности (zero-volatility spread) называют такую надбавку к спот-ставкам, при которой приведенная стоимость потока платежей от облигации совпадает с ее рыночной ценой.
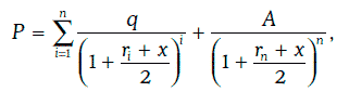
Спред нулевой волатильности удовлетворяет следующему уравнению:

где Р – котируемая цена облигации с полугодовыми купонами;
q – полугодовой купонный платеж;
А – номинальная стоимость облигации;
n – число купонных платежей, остающихся до погашения облигации;
ri – спот-ставка на i полугодовых периодов, i = 1, 2, …, n.
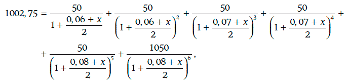
Пример 1.25. Дана 10 %-ная корпоративная облигация с полугодовыми купонами номиналом 1000 долл., когда до ее погашения остается 3 года. Определим спред нулевой волатильности, если облигация продается за 1002,75 долл., а спот-ставки на 0,5, 1, 1,5, 2, 2,5 и 3 года соответственно равны 6, 6, 7, 7, 8 и 8 %.
Решив уравнение

найдем, что х = 0,02. Таким образом, в данном случае спред нулевой волатильности составляет 200 базисных пунктов.
Замечание. Для сравнения краткосрочных облигаций можно использовать разницу между доходностями к погашению. Однако для долгосрочных облигаций спред нулевой волатильности дает более точную оценку.
Более 800 000 книг и аудиокниг! 📚
Получи 2 месяца Литрес Подписки в подарок и наслаждайся неограниченным чтением
ПОЛУЧИТЬ ПОДАРОКДанный текст является ознакомительным фрагментом.