1.10. Предполагаемые форвардные ставки
Если известна кривая рыночных доходностей, можно найти предполагаемые форвардные ставки.
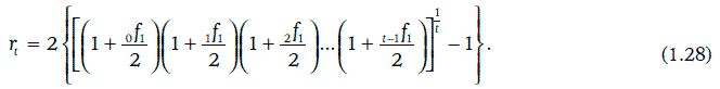
Предполагаемая форвардная ставка (implied forward rate) через n полугодовых периодов на t периодов вперед определяется следующей формулой:

где nft – предполагаемая форвардная ставка через n полугодовых периодов на t полугодовых периодов;
rn+t – внутренняя доходность облигации с нулевым купоном, погашаемой через n + t полугодовых периодов;
rn – внутренняя доходность облигации с нулевым купоном, погашаемой через n полугодовых периодов.
Чтобы выяснить смысл предполагаемых форвардных ставок, рассмотрим две стратегии.
Стратегия 1. Денежную сумму Q инвестируем на n + t полугодовых периодов под ставку rn + t (это означает, что на сумму Q закупаются облигации с нулевыми купонами, погашаемые через n + t полугодовых периодов).
Стратегия 2. Денежную сумму Q инвестируем на n полугодовых периодов под ставку rn, а затем накопленную сумму реинвестируем еще на t полугодовых периодов под ставку zt.
Данные стратегии дадут один и тот же конечный результат тогда и только тогда, когда zt = nft.
Таким образом, предполагаемая форвардная ставка nft – это такая ставка, которую может себе обеспечить инвестор на t полугодовых периодов в будущем, оперируя на рынке облигаций с нулевыми купонами.
Пример 1.26. Рыночные доходности на 3 и 5 полугодовых периодов соответственно равны 8 и 9 %.
Предполагаемая форвардная ставка через 1,5 года на один год вперед может быть найдена следующим образом:

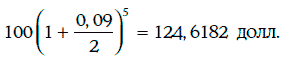
Если 100 долл. инвестировать на 2,5 года под ставку 9 %, то через 2,5 года получим

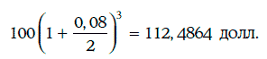
Если же 100 долл. инвестировать на 1,5 года под ставку 8 %, а затем накопленную сумму

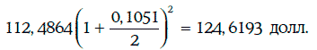
реинвестировать под предполагаемую форвардную ставку 10,51 % еще на один год, то получим

Таким образом, обе рассмотренные стратегии дают один и тот же результат (небольшое расхождение объясняется погрешностями при расчетах).
Графическое изображение предполагаемых форвардных ставок nft при t = 1, 2, 3…. называют кривой форвардных ставок (forward rate curve) через n полугодовых периодов.
Можно доказать, что если кривая форвардных ставок является возрастающей (убывающей), то и кривая рыночных доходностей возрастает (убывает). Однако при возрастающей кривой рыночных доходностей кривая форвардных ставок не обязательно будет возрастающей.
Пример 1.27. На данный момент времени известны следующие рыночные доходности:

Таким образом, кривая рыночных доходностей возрастает. По определению предполагаемых форвардных ставок имеем:

Следовательно, кривая форвардных ставок не является возрастающей (1f2 > 1f3).
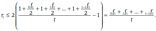
Если известны предполагаемые форвардные ставки, то можно определить и рыночные доходности:

Так как среднее геометрическое положительных чисел не больше среднего арифметического этих чисел, то

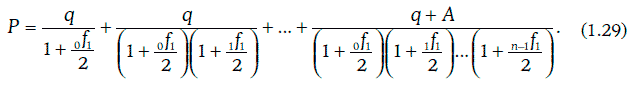
C помощью предполагаемых форвардных ставок можно найти котируемую цену облигации с полугодовыми купонами:
Более 800 000 книг и аудиокниг! 📚
Получи 2 месяца Литрес Подписки в подарок и наслаждайся неограниченным чтением
ПОЛУЧИТЬ ПОДАРОКДанный текст является ознакомительным фрагментом.