1.15.1. Обмен облигаций
Предположим, что инвестор рассматривает вопрос об обмене облигации Х стоимостью VX с модифицированной дюрацией
на облигацию Y с модифицированной дюрацией
при цене PY (на номинал 100 долл.).
Выясним, каким должен быть номинал облигации Y, чтобы обмен облигации Х на облигацию Y не увеличивал подверженность инвестора процентному риску.
Если требуемая доходность облигации Х изменится на величину ?r, то соответствующее изменение стоимости этой облигации определяется равенством

Можно предположить, что на основе статистических исследований установлено, что при изменении требуемой доходности облигации Х на величину ?r требуемая доходность облигации Y изменяется на величину ??r.
Тогда соответствующее изменение стоимости облигации Y можно найти по формуле:

где Ay – номинал облигации Y.
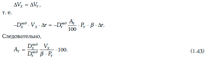
Обмен облигаций не будет увеличивать подверженность процентному риску, если при любом ?r

Равенство (1.43) показывает, каким должен быть номинал облигации Y, чтобы при обмене облигации Х на облигацию Y не увеличивался процентный риск.
Пример 1.39. Инвестор рассматривает вопрос об обмене облигации Х стоимостью 8 млн долл. на облигацию Y при цене PY = 96 долл. Модифицированные дюрации облигаций Х и Y равны 5 и 4 соответственно, а коэффициент ? равен 1,6.
Чтобы при обмене не менялась подверженность процентному риску, номинал облигации Y должен удовлетворять равенству:

Таким образом, искомый номинал облигаций Y должен равняться 6 510 417.
Более 800 000 книг и аудиокниг! 📚
Получи 2 месяца Литрес Подписки в подарок и наслаждайся неограниченным чтением
ПОЛУЧИТЬ ПОДАРОКДанный текст является ознакомительным фрагментом.