1.22.1. Биномиальное распределение
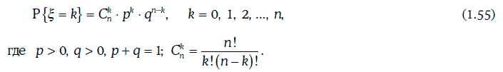
Дискретная случайная величина ? имеет биномиальное распределение (binomial distribution) B(n, р), если она принимает значения: 0, 1, 2, …, n, причем

Свойства биноминального распределения

Пример 1.52. Рассмотрим портфель из 20 облигаций, выпущенных различными эмитентами с одним и тем же кредитным рейтингом. Предположим, что дефолты по облигациям независимы, а вероятность дефолта по любой облигации в течение одного года равна 10 %.
Обозначим через ? число дефолтов по данному портфелю в течение одного года. Случайная величина ? имеет биномиальное распределение B(20, 0,1), следовательно, ожидаемое число дефолтов по портфелю облигаций в течение одного года составит:

Вероятность того, что в течение года произойдет два дефолта, находится следующим образом:

Вероятность, что в течение года произойдет 5 дефолтов, составит величину:
Более 800 000 книг и аудиокниг! 📚
Получи 2 месяца Литрес Подписки в подарок и наслаждайся неограниченным чтением
ПОЛУЧИТЬ ПОДАРОКДанный текст является ознакомительным фрагментом.