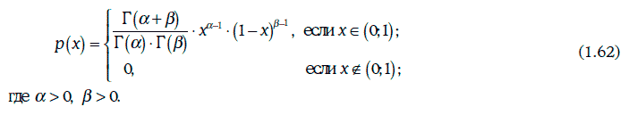
1.22.8. Бета-распределение
Плотность бета-распределения В(?, ?) записывается в виде:

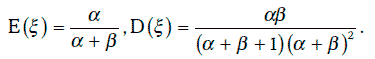
Если случайная величина ? имеет бета-распределение В(?, ?), то
Более 800 000 книг и аудиокниг! 📚
Получи 2 месяца Литрес Подписки в подарок и наслаждайся неограниченным чтением
ПОЛУЧИТЬ ПОДАРОКДанный текст является ознакомительным фрагментом.
Содержание
История
История
Loading ...
Failed to load data.
{{name}} | {{author}}