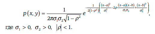
1.22.9. Двумерное нормальное распределение
Плотность двумерного нормального распределения имеет следующий вид:

Свойства двумерного нормального распределения
Более 800 000 книг и аудиокниг! 📚
Получи 2 месяца Литрес Подписки в подарок и наслаждайся неограниченным чтением
ПОЛУЧИТЬ ПОДАРОКДанный текст является ознакомительным фрагментом.
Содержание
История
История
Loading ...
Failed to load data.
{{name}} | {{author}}