1.24. Элементы регрессионного анализа
Во многих случаях требуется установить зависимость между двумя случайными величинами. Чаще всего предполагается линейная зависимость. Например, при обмене облигаций использовалась линейная зависимость между изменениями доходностей двух облигаций.
Рассмотрим две случайные величины ? и ? и предположим, что когда случайная величина ? принимает значения X1, X2…., Xn, то случайная величина ? принимает соответственно значения Y1, Y2…., Yn.
Линейной регрессионной моделью называют уравнение следующего вида:

При построении линейной регрессионной модели коэффициенты а и b необходимо подобрать так, чтобы влияние случайной погрешности ? на случайную величину ? было как можно меньше.
Из уравнения (1.64) следует, в частности, что

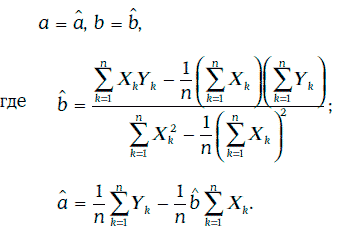
Коэффициенты регрессии а и b чаще всего подбираются методом наименьших квадратов (least squares), который сводится к отысканию значений а и b так, чтобы достигалось наименьшее значение функции

Нетрудно проверить, что наименьшее значение функции (1.65) достигается при

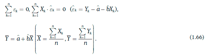
При выборе коэффициентов регрессии указанным выше способом будут выполняться следующие соотношения:

Пример 1.63. Построение линейной регрессионной зависимости доходности среднесрочных корпоративных облигаций одного и того же кредитного рейтинга (?) от доходности 10-летних казначейских облигаций (?). Исходная информация и предварительные расчеты приведены в таблице ниже.
Коэффициенты регрессии находят следующим образом:



Уравнение регрессии в данном случае имеет вид:

Из соотношения (1.66) следует, что


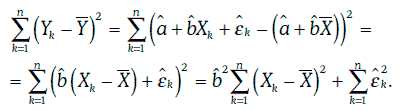
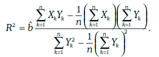
Отношение суммы квадратов, объясняемой регрессией, к полной сумме квадратов называют коэффициентом детерминации и обозначают R2. Таким образом,

Коэффициент детерминации всегда находится между 0 и 1, причем чем ближе коэффициент детерминации к единице, тем выше качество регрессионной модели.
Пример 1.64. Оценим качество регрессионной модели, построенной в примере 1.63.
В данном случае коэффициент детерминации может быть найден следующим образом:

Так как коэффициент детерминации очень близок к единице, то качество регрессионной модели достаточно высокое.
Оценка коэффициентов регрессии получена нами в зависимости от выборки значений X1, X2…., Xn независимой случайной величины ? и соответствующих им значений зависимой случайной величины ?. Для другой выборки значений случайной величины ? будут получены, вообще говоря, другие оценки коэффициентов регрессии и другая случайная погрешность. В связи с этим возникает задача построения доверительных интервалов для коэффициентов регрессии.
Если предположить, что случайные погрешности не коррелируют между собой (т. е. отсутствует автокорреляция), то доверительные интервалы для коэффициентов регрессии с надежностью 95 % строятся следующим образом:

Если случайная величина ? принимает значение Х, то согласно линейной регрессионной модели:

а ожидаемое значение случайной величины ? равно

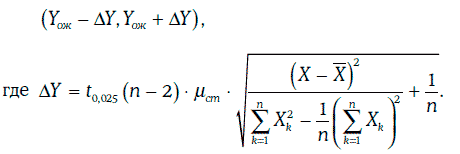
При отсутствии автокорреляции[17] и гетероскедастичности[18] доверительный интервал для значения случайной величины ? при заданном уровне надежности может быть найден в виде:

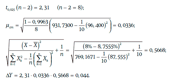
Пример 1.65. Инвестор считает, что через месяц доходность 10-летних казначейских облигаций окажется равной 8 %. Тогда согласно регрессионной модели, построенной в примере 1.63, ожидаемое значение доходности корпоративных облигаций будет равно

Для определения доверительного интервала для доходности корпоративных облигаций с надежностью 95 % найдем:

Следовательно, искомый доверительный интервал: (8,87 %; 8,95 %).
Более 800 000 книг и аудиокниг! 📚
Получи 2 месяца Литрес Подписки в подарок и наслаждайся неограниченным чтением
ПОЛУЧИТЬ ПОДАРОКДанный текст является ознакомительным фрагментом.