3. Тест Фишера (Fisher test)
Для начала проверим гипотезу о незначимости регрессии в целом. Тест позволит понять, является ли построенная модель адекватной с точки зрения статистики. Для этой цели воспользуемся тестом Фишера [3].

Сформулируем гипотезы для проверки незначимости регрессии в целом в рассматриваемом примере [файл с данными wage1.gdt] модели
,
:

как минимум один из коэффициентов отличен от нуля.
Для принятия решения о том, какую гипотезу нужно отвергнуть, построим F-статистику. Для этого нам должны быть известны (помимо уже имеющихся параметров n – объем выборки и k – число регрессоров в модели) величины RSS и ESS. В явном виде в распечатке на рис. 2.2 дано значение ESS – сумма квадратов остатков, которая составляет ESS = 4966,3, а также из распечатки известен коэффициент детерминации
(подробнее о коэффициенте детерминации и его интерпретации можно прочесть в § 7).
Если вспомнить, что
,1 а
, то можно путем простых алгебраических преобразований найти необходимую нам величину RSS. При этом
. Отсюда можно вычислить
. Критическое значение F-статистики возьмем на уровне значимости 5 %:
(чтобы получить это значение, в основном меню GRETL нужно выбрать Инструменты – Критические значения – Фишера и ввести необходимое число степеней свободы и правостороннюю вероятность либо посмотреть в статистических таблицах распределения Фишера для уровня значимости 5 %, например в [7]).

Рис. 3.1

Рис. 3.2
Уровень значимости, на котором принимается решение о том, какую гипотезу не отвергать, остается на усмотрение исследователя. Как правило, если нет представления, какой именно уровень значимости брать, предлагается выбирать 5 %. В случаях работы с маленьким по объему выборками (от 30 до 100 наблюдений) предлагается брать уровень значимости 10 %. Для больших выборок (более 1000 наблюдений) можно взять уровень значимости 1 %. В нашем случае объем выборки средний (526 наблюдений, эта информация дана в первой строке распечатки на рис. 2.2.), поэтому можно было принять
.
Сравниваем расчетное значение F-статистики с критическим
, то есть 78,2 > 2,6. Следовательно, можно сделать вывод, что гипотеза
о незначимости регрессии в целом отвергается.
Тест Фишера можно провести также в полуавтоматическом режиме и в автоматическом режиме. Полуавтоматический режим состоит в том, что нам не нужно вручную вычислять значение расчетной F-статистики, оно дано в распечатке на рис. 2.2. В этом случае нужно лишь выяснить критическое значение F-статистики и сравнить расчетное значение с критическим.
В автоматическом режиме нужно также воспользоваться распечаткой GRETL и посмотреть на р-значение статистики Фишера на рис. 2.2 (в распечатке р-значение (F)). В р-значении содержится вероятность ошибки I рода. Таким образом, р-значение (F) для теста Фишера – это вероятность ошибки I рода при тестировании гипотезы
. По существу это вероятность ошибиться, отвергнув гипотезу H0. Для принятия решения, можно ли отвергнуть гипотезу H0, нужно сравнить р-значение с заданным уровнем значимости a. Уровень значимости задает вероятность ошибки I рода, то есть, грубо говоря, какую долю ошибок мы готовы себе позволить, отвергнув гипотезу H0. Если р-значение меньше принятого уровня значимости, то маловероятно, что мы ошибемся, отвергая гипотезу H0 в ситуации, когда р-значение больше уровня значимости, вероятна ошибка в случае отклонения нулевой гипотезы, поэтому ее стоит принять. Отсюда можно сделать вывод, что р-значение показывает вероятность ошибиться, отвергнув гипотезу H0, при том, что она верна. Эта интерпретация р-значения справедлива для всех статистических тестов, и мы будем иметь ее в виду в дальнейшем. В данном случае р-значение (F)
(р-значение (F) в распечатке представляет собой «3,41e-41» – это компьютерный способ записи числа
, которое практически равно 0). Это говорит о том, что можно отвергнуть гипотезу H0 (вероятность ошибки близка к 0).
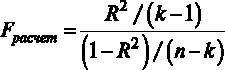
Стоит обратить внимание еще на один полезный факт. При расчете F-статистики вручную мы использовали формулу
. Используя соотношение
, можно переписать расчетную статистику через коэффициент детерминации, не используя квадраты остатков
.
Более 800 000 книг и аудиокниг! 📚
Получи 2 месяца Литрес Подписки в подарок и наслаждайся неограниченным чтением
ПОЛУЧИТЬ ПОДАРОКДанный текст является ознакомительным фрагментом.