9.3. Танцы на чипсах

Каково представлению, которое стало целью одновременно для нескольких влечений, в которое летит либидо от множества объектов? Агрессивнее ситуации не придумаешь — с точки зрения цели. Но что такое точка зрения одного представления по сравнению с удовольствием от разрядки целой плеяды других представлений?

Психика, как вы уже прекрасно знаете, склонна экспериментировать со структурой связей: будь то нейронные связи, потоки либидо между представлениями, социальные отношения. Локальные неудобства допустимы, когда речь идет о глобальной оптимизации всей сети. Поэтому некоторые представления в добровольно-принудительном порядке подставляются под либидо от разных влечений. Эту вывернутую картину, когда представление стремится к накоплению либидо, а не к разрядке, можно назвать пассивно-агрессивным влечением.

Тот факт, что далеко не каждый демонстрирует пассивную агрессию, наводит на мысль о существовании спектра промежуточных и альтернативных психических конфигураций. Психика должна прибегать к агрессивным перегибам на местах только в особых случаях, иначе психические ресурсы быстро истощатся (да и побить могут).

Это на самом деле так. Психика защищается от резких скачков энергии, от застоя либидо, от избытка аффектов, от осуждения Сверх-Я. Все свободное от обучения и общения время психика защищается. А во время обучения и общения психика защищается особо тщательно. Психическая защита — это любая трансформация влечений из-за невозможности удовлетворения и в целях оптимизации потоков либидо. Ровно то же самое, что на нейронном уровне мы описывали как сетевую адаптацию. Судьба любого влечения — пережить множество трансформаций. Иначе об удовлетворении можно забыть.

В этом параграфе мы разберем цепочку психических защит, которая ведет по пути ослабления агрессии. Начинается эта цепочка, как и любая другая, с вытеснения.

А. Неудачное вытеснение

Об этой психической защите вы уже знаете почти все. Если влечение кажется психике слишком затратным, проблематичным, противоречивым или «аморальным», психика попросту делает вид, что никакого влечения нет. Объект и цель являются представлениями. Значит, их можно выкинуть в бессознательное (по отдельности или вместе). Однако вытесненное состояние нестабильно, требует затрат. Плюс еще с цепочками дериватов бороться надо (параграф 4.1). Поэтому более зрелая психика поступает хитрее.

Б. Неустойчивая сублимация

Все компоненты остаются в сознании, но один объект заменяется на сеть объектов; цель — на множественные цели. Таким образом либидо свободно перемещается по этой разветвленной сети, порождая новые образы, формы и идеи. Удовольствие при этом не такое острое, как при прямой сексуальной разрядке, но гораздо масштабнее, потому что охватывает значительную часть Я и Сверх-Я. Недостаток сублимационной сети в том, что от субъекта требуется высокий уровень психической зрелости и «социальной ответственности». Большинство субъектов (около 70%) вообще не способны к полноценной сублимации. И даже те, кто успешно сублимирует, нуждается в периодах регрессии (расслабона) после душевного напряжения и трудов праведных. Поэтому сублимационная сеть раскалывается на отдельные подсистемы, в каждой из которых работают уже другие психические защиты.

В. Амбивалентная петля

Иногда влечение упорно не желает создавать множественные цели или принимать множественные объекты. Так бывает, когда объект представляет ценную фигуру (родитель, наставник). Конечно, всегда есть вариант с параноидным расщеплением ценной фигуры на идеальный объект и на объект преследующий. Но это уже психотический регистр, который мы в этой книге не рассматриваем. Поэтому диада «сингулярный объект — сингулярная цель» подвергается замыканию. Либидо просто циркулирует между объектом и целью, не беспокоя соседние представления (рис. 9.3). Психика просто добавила новое влечение, в котором объект и цель поменялись местами. Благодаря таким петлям психика умеет справляться с амбивалентными, то есть противоречивыми, отношениями.

Рис. 9.3. Амбивалентная петля, эквивалентная двум противоположным влечениям. Перевернутой галочкой отмечен объект, превращенный в цель нового (встречного) влечения

Г. Реактивное образование

При неврозах и стрессовых ситуациях психика не желает разбираться со слишком сложными амбивалентными отношениями. Половина петли уходит в бессознательное. Или перекрывается один из потоков либидо. В итоге другой поток (другая половина петли) получается непропорционально сильным (рис. 9.4). Со стороны мы наблюдаем, как субъект слишком почтительно общается с родителями (вплоть до того, что им самим некомфортно). Или как мать не ругает, а заискивающе нахваливает капризного ребенка.

Рис. 9.4. Реактивное образование. Справа показано, как цель уходит в бессознательное. Либидо не может течь из сознания в бессознательное, поэтому отражается от «заслона» и возвращается к объекту. Течение из бессознательного в сознание разрешено, поэтому цель без проблем продолжает разряжать либидо в объект

На сознательном уровне субъект действует абсолютно искреннее, часто даже в ущерб себе. Но бессознательно это лишь способ убедить самого себя, будто ты не испытываешь никаких негативных эмоций по отношению к другим. Сторонний наблюдатель чувствует в таких заботе и любви нотки агрессии. Отсюда пошло выражение «задушить любовью». И здесь же мы передаем привет многим защитникам окружающей среды, чья ванильная забота о всем живом является реактивной маскировкой их эпилептоидного садизма. Согласитесь, нужно быть конченым садистом, чтобы из-за сфабрикованных климатических теорий лишить рабочих мест несколько миллионов граждан.

Д. Аутоагрессия Я

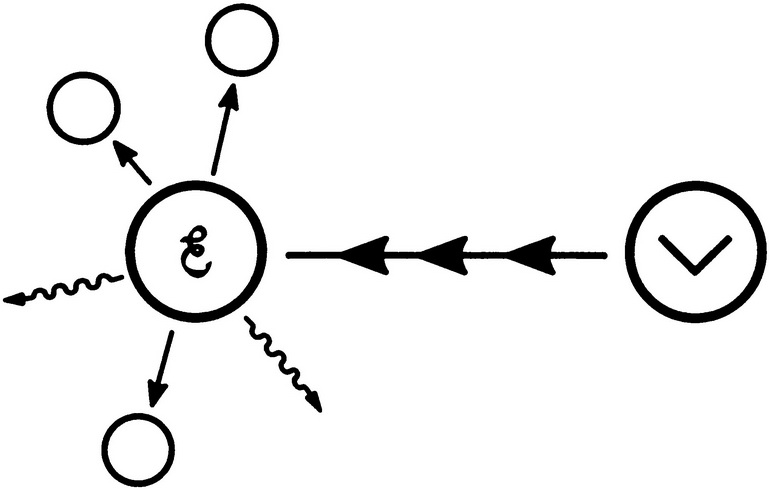
За бегство от амбивалентности приходится платить. Если объект «боится» повредить цель своим натиском либидо, то куда девать либидо? А тут еще в реактивном образовании либидо не уходит в цель, а приходит от целевого представления! В какой-то момент перегруженное представление «протекает»: либидо льется на головы всем соседним представлениям (рис. 9.5).

Рис. 9.5. Объект, перегруженный либидо, пытается сбросить нагрузку, «стреляя» энергией во все стороны. Волнистые линии — сверхбыстрые импульсы либидо, которые ведут к диссипации энергии и внешним аффектным проявлениям

Если эта разрядка происходит быстро, с аффектом, это еще полбеды. Тогда мы наблюдаем легкое соматическое членовредительство вроде изнуряющих диет, пробежек по утрам, каторжной работы на даче, раскусывания губ. Если же медленно, то диссипации не происходит, либидо спокойно и методично нагружает совершенно нейтральные представления Я. Энергия влечения обращается против Я. Поэтому будьте осторожны, игнорируя свои желания. Любое, даже самое мирное и невинное влечение, получив жесткий отказ, может устроить вашему Я либидозную бомбардировку.

Е. Мазохизм Сверх-Я

С этим сценарием мы уже столкнулись в пятой главе. Некоторым представлениям Я, по каким-то причинам, выгодно ловить либидо от своих агрессивных соседей. Они скапливаются вокруг источника агрессии и образуют блокаду (рис. 9.6), чтобы все бесплатное либидо доставалось им.

Рис. 9.6. Представления Я образуют блокаду вокруг перегруженного объекта

Что происходит с похищенным либидо дальше? Либо представления используют его для превращения из Я в Сверх-Я (параграф 5.7). Либо накапливают и отдают обратно агрессивному объекту, чтобы тот не забывался. В последнем случае участники либидозной блокады получают удобный способ регулярно получать удовольствие. Но объект влечения, попавший в эту ловушку, будет страдать: для него разрядка теперь невозможна, ведь все либидо ему возвращают. И кто возвращает? Представления, изначально никак не связанные с исходным влечением.

Так и возникает слабая агрессия. Теперь мы видим, чем именно она отличается от обычной агрессии. Во-первых, слабая агрессия ненаправленная и непреднамеренная — либидо случайным образом распределяется между случайными представлениями. Во-вторых, количественно слабая агрессия на порядок слабее (ничего себе, а мы думали, что сильнее!), потому что доза либидо была рассчитана на одно представление, а делится на множество. В-третьих, агрессор и жертва совпадают: только что объект атаковал все соседние представления, а теперь уже сам получает от них ответку. Именно так представление и становится целью для множества влечений, жертвой слабой агрессии.

В этом пункте кроется причина психосоматических проблем, связанных с пищевыми расстройствами. Представление, распыляя энергию в разные стороны, вызывает у части Я небольшой стресс. Включаются механизмы разрядки и быстрого удовольствия. Пожевать, посидеть в соцсетях, поиграть в игры, поспать, побездельничать. Это абсолютно адекватная реакция на стресс. Но проблема в том, что потревоженные представления возвращают часть либидо объекту-агрессору. И это как раз те представления, которые претендуют на лавры Сверх-Я!

Мораль параграфа

Как объект будет после этого воспринимать возвращенное ему со всех сторон либидо? Как укор, как чувство вины, как страх чужого мнения. Хотя это вовсе не чужое мнение, это либидозные претензии соседских представлений. Но пока психика в этом разберется, пройдет много циклов вида «стресс — психосоматическая разрядка — чувство вины — стресс». Единственный, кто будет получать удовольствие (мазохистического плана), — это ваше родное Сверх-Я или части Я, претендующие на роль Идеала.

Возможно ли заставить слабую агрессию работать вам на благо? Еще как можно. Обратите внимание на кванты либидо, которые возвращаются от Я-блокады к объекту. Что в них можно поменять? Вспоминаем (параграф 9.3), что с помощью быстрой и бурной разрядки можно рассеять избыток либидо (рис. 9.7). Наше сознание как раз имеет рычаги для прямого управлениями представлениями Я, особенно если те играют вспомогательную роль. Цвет штор выбрать легче, чем решиться на хамство начальнику. А начальник нам и не нужен, мы пощадим его поросшее трепещущим жиром сердце. Нам нужны шторы.

Рис. 9.7. Объект прорывает блокаду. Изображено два способа. Первый: либидо сначала перетекает к участнику блокады, чтобы он «выстрелил» аффектом. Второй: либидо сразу выбрасывается в форме аффекта, игнорируя участников блокады

Вам всего лишь нужно придать вашей слабоагрессивной деятельности как можно более яркий, активный, внешний характер. Не надо тихо поедать чипсы, упрекая себя за каждый съеденный ломтик. Позовите друзей, бросайтесь друг в друга пачками чипсов и банками с газировкой. Высыпьте чипсы из всех пачек, кроме одной, в ванну, залейте разными соусами и устройте танцы в духе Челентано.

Похожий прием был описан Виктором Франклом и получил название парадоксальной интенции. Но это универсальный механизм, который работает и в отсутствие психосоматических проблем. Он ограничивает внутреннюю составляющую слабой агрессии, не позволяет замыкаться маленьким порочным кругам и спасает нас от бесконечного стыда и раскаяния. Вот если механизм дает сбой, возникает психосоматика.

Ах да! Мы же отправили одну пачку чипсов в резерв. Зачем? Чтобы после превращения снека в труху было чем закусить. Потом. Если захочется.

Более 800 000 книг и аудиокниг! 📚

Получи 2 месяца Литрес Подписки в подарок и наслаждайся неограниченным чтением

ПОЛУЧИТЬ ПОДАРОК