2.5. Доктор Треугольник

Итак, мы закрыли тему прямого химического воздействия на нейронную сеть. Но можно попытаться уговорить нашу психику. В прямом смысле. И делать это будет не психоаналитик, а сам субъект.

В предыдущем параграфе мы упомянули неокортекс. Это кора больших полушарий, состоящая из нескольких слоев нейронов. Интеллект, речь, абстрактное мышление, творчество и другие высшие психические функции реализуются в неокортексе. Здесь же закодированы неврозы, Эдипов комплекс, фобии… И наша любимая психосоматика. Неклиническая, само собой. При клинических случаях вполне могут необратимо меняться и другие отделы мозга, особенно эпифиз и гипофиз, которые даже мозгами-то назвать нельзя — это железы, осуществляющие выработку некоторых гормонов.

Неокортекс обменивается информацией с… Стоп. Это не учебник по нейрофизиологии. Поэтому пора уже для ясности разграничить высшую психику и структуры соматического контроля. Потому что с точки зрения психоанализа неважно, что с неокортексом связан мозжечок и другие отделы головного мозга, после них тянется спинной мозг, от него разбегаются во все стороны нервы, заканчиваясь моторными и вегетативными нейронами. Неважно. Этим занимаются нейрофизиологи. Мы можем позволить себе роскошь упрощения.

Отдавая дань «Очерку психологии» Фройда, будем обозначать «непсихическую» часть нервной системы буквой ?. Те нейроны, дендриты которых сплетаются в рецепторы органов чувств, можно называть R-системой. Эти нейроны своими дендритами как бы «высовываются в реальность».

Соответственно, ?-система — это неокортекс и некоторые компоненты лимбической системы: гипоталамус, миндалевидное тело и гиппокамп. Лимбическая система регулирует эмоциональную сферу, сновидения, память.

Двоякую роль играют мозжечок и варолиев мост. Мозжечок отвечает за сознательную координацию движения и мышечный тонус. Варолиев мост — за мимику, слюну и слёзы (ну и ещё по мелочи). Несмотря на чистую физиологичность этих функций, они имеют психическое и социальное значение. Контроль над нашими мышцами мы обретаем только в процессе обучения. И много чисто мышечных феноменов тесно связаны с социальной сферой. Первые шаги малыша воспринимаются родителями как важный рубеж в развитии. Мимика и гримасы — особые средства коммуникации, при правильном использовании могут творить чудеса (об этом чуть позже). Да что далеко ходить? Качков-нарциссов все видели? Был мужичок, стал мозжечок. Психосоматика? Она самая. Хотя всю психику они давно променяли на соматику. Из-за этой двойственности мозжечок и варолиев мост можно отнести и к ?, и к ?. Или вообще обозначать ??.

С обозначениями и делением разобрались. Теперь о слоях. Неокортекс состоит из шести слоёв нейронов. Действует правило: связи возможны только между нейронами из двух соседних слоёв. Нейроны первого слоя соединены с нейронами других отделов мозга, которые мы уже благополучно объединили в систему ?. Какой тернистый путь прошёл сигнал от кожи до неокортекса? Неважно. Сигнал начинает нас интересовать, только когда он прорвался сквозь тернии к большим полушариям. Не прорвался — значит, его и не было. А вот если сигнал идёт из психики к соме, то психика будет настойчиво требовать исполнения приказа. И в этом ей помогают обратные связи.

Неокортекс перенасыщен обратными связями. Вообще обилие обратных связей выгодно отличает нашу нервную систему от других аналогов (естественных и искусственных). Читаем мы книгу: сигнал идёт от зрительных нервов вглубь неокортекса, а в обратку тут же движется десятикратное эхо. В итоге зрительные нервы получают информацию «изнутри» мозга на порядок больше, чем от обозримой внешней реальности. Или даёт мозг приказ пошевелить пальцами. К спинному мозгу идёт десять импульсов, а обратно бежит сотня сигналов. Этот факт, установленный экспериментально, долго оставался без внимания нейропсихологов. Когда же наука занялась обратными связями всерьёз, был совершён прорыв в изучении интеллекта{19}.

Зачем неокортексу столько обратных связей? Затем, что любое осмысленное действие невозможно без прогноза и планирования. Нам нужен идеал, с которым мы сравниваем текущий результат. Если расхождение между ожиданием и реальностью сильное, мы либо изменяем алгоритм действий, либо смиряем амбиции и корректируем идеал. Такая самокритика и проверка результата затратнее и сложнее, чем выполнение заранее продуманных действий. Поэтому логично предположить, что именно обратные связи хранят информацию об эталонах, идеалах, ожиданиях и выученных навыках. Та самая адаптивность.

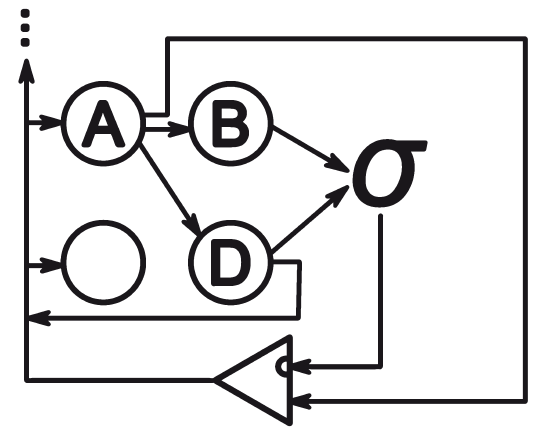
Но почему же волшебные обратные связи не помогут нам исправить психосоматический симптом? Они стараются. Честно. Но здесь включается количественный фактор, столь любимый Фройдом. Рассмотрим простейшую схему (рис. 2.7). Здесь всего два слоя и четыре нейрона (но многоточия намекают, что за кадром осталась целая бесконечность нервных клеток).

Первый сценарий

Нейрон А проснулся и захотел пить. Он посылает сигнал во все концы. В данном случае конец всего один — выход нейрона А связан только со входом нейрона В. Мощность сигнала достаточна, чтобы В тоже проснулся и передал приказ уже непосредственно нейронам из сигмы. Человек пошёл на кухню, выпил воды. Все довольны. Ожидание совпало с реальностью.

Как выполняется тестирование реальности{20}? Сигма даёт отрицательную обратную связь на вход нейронам либо из первого слоя неокортекса, либо из гиппокампа (структуры, отвечающей за обучение дураков на своих ошибках). Чтобы их главная роль бросалась в глаза, эти нейроны обозначены треугольником.

Рис. 2.7. Простейшая схема передачи сигналу телу (сигме) с обратной связью (треугольник). Кружочком на треугольнике отмечен инвертирующий вход. Сигнал, пришедший туда, берется с обратным знаком

Сам термин «отрицательная обратная связь» можно понимать чисто математически. Сигнал от нейронов сигмы в синапсах «треугольника» меняет знак на минус. Психика как бы спрашивает соматику: «Тебе ещё что-нибудь надо?» И ответ «нет, не надо», отрицательный грамматически, является положительным по содержанию. Не надо — так не надо! Треугольные нейроны просыпаются и передают тормозящий сигнал на вход нейрону А, замыкая петлю и прекращая лишнюю активность.

Но, согласитесь, было бы странно, если бы нейронная сеть тормозила свою активность, не дождавшись результата. Поэтому на вход треугольника приходит сигнал с выхода нейрона А, но не с минусом, а с плюсом. Нейрон А как бы страхуется, посылая копию своего запроса не только подчинённому В, но и контролирующему органу. И если мы сильно чего-то хотим, а соматическая система откликается очень вяло, то контролирующий орган берёт и контролирует, посылая нейрону А и группе случайных нейронов (во втором слое) мощный живительный импульс.

Как видите, всё довольно просто. В треугольнике происходит элементарное сравнение воздействия на соматику и соматического отклика. Ведь что значит сравнить две величины? Вычесть одну из другой и посмотреть на знак разности. По итогам сравнения принимаются меры, чтобы скомпенсировать разницу сигналов. Идеальным (но неустойчивым) состоянием является «послушное тело», когда прохождение сигмы превращает импульс В в точную копию импульса А. Тогда на треугольнике повисает полный ноль (попробуйте вычесть любое число из самого себя, если не верите).

Всё сказанное верно и для цепочки нейронов С и D, если бы нейрон С тоже проснулся и захотел (нет, уже не воды) шоколада. Но нейрон на диете, поэтому спит.

А если вас смущает, что треугольник реагирует на отрицательный входной сигнал возбуждением, а не торможением, то это прекрасно. Вы нашли «ошибку» и можете исправить её вместе с автором в конце этого параграфа.

Второй сценарий

Всё то же самое, но подождите, что это за паразитная связь? Почему нейрон А вдруг посылает сигнал не только нейрону В, но и нейрону D? А вот так. Ассоциативная связь, сэр. Травматический опыт, замещение, стресс, бессознательное воздействие рекламы, просто информационный шум. Причин может быть множество. Важен эффект. Теперь, когда возбуждается нейрон А, его импульс распространяется не только по генеральной линии А – В–сигма, но и по линии А – D–сигма.

Рис. 2.8. Схема с паразитной ассоциативной связью

Но сигма — это не отдельный нейрон, это целая система. Поэтому субъект, помимо полезной активности, совершает бесполезные (или вредные) действия. Вот так шли вы на кухню за водичкой, а вернулись в спальню с тремя плитками шоколада. Кто виноват? Водичка виновата.

Без паники. Треугольник не дремлет. На его вход подаётся (по-прежнему) всего один положительный сигнал от нейрона А (нейрон С спит, поэтому от него на треугольник приходит ноль). Отрицательный сигнал стал в два раза больше, что сигнализирует о какой-то подозрительно бурной деятельности со стороны сигмы. Минус побеждает, и второй слой получает команду остановиться и положить шоколадку на место. Или отказаться от стакана воды. Тут как повезёт.

Третий сценарий

А вот теперь происходит безобразие. Нейрон D, который был случайно вовлечен в мошенническую схему с шоколадом, вдруг начинает испытывать чувство вины. Он мало того что возбуждается, так ещё и даёт обратную связь прямо нейрону А. Мол, прости, виноват.

Рис. 2.9. Схема с паразитной петлей самовозбуждения от нейрона D к нейрону А

К чему это приводит? Конечно, к сбою механизма работы над ошибками. Треугольник теперь бесполезен. Вернее, он полезен, но его забьёт сигнал от нейрона D. Потому что разностный сигнал почти всегда слабее обычного сигнала. И если нейрон своё чувство вины выражает в чистом возбуждении, то нейрон А получает на вход ещё больше потенциала. И поедание шоколада продолжается усиленными темпами. Если же нейрону D хватит ума подогнать к синапсу с А тормозящие медиаторы, что ж… Человек вернётся из кухни ни с чем. Бросит пить.

И это не смешно. Одна клиентка так и говорила: «Я боюсь ходить на кухню за водой, потому что в холодильнике меня ждёт шоколад». И держала у себя в комнате пятилитровую канистру с водой. Психоанализ помог распутать эту проблему. К великой радости всех любителей открыть дверцу холодильника и позагорать под лампочкой с печальным видом. Но прибережём хеппи-энды для красивого завершения главы.

Мы поняли, как важна для психики обратная связь и как она беспомощна перед перехватом со стороны особо буйных нейронов. Осталось понять, как её починить.

Кстати, будь у нас всего одна извилина (один слой нейронов), то никаких перекрестных связей не могло бы возникнуть в принципе. Ведь нейроны могут связываться только с соседями из соседних слоев. Поэтому если вы страдаете от лёгкой психосоматики, то вас нужно поздравить. Вы — как минимум! — не примитивны.

Дополнение для внимательных

Возвращаемся к треугольному безобразию. Как же так? Мы говорили, что на выходе нейрона либо ноль, либо единица, а тут прямо на выходе идут отрицательные сигналы! И ещё мы говорили, что на входе должна быть достаточно большая сумма. Если подавать на вход отрицательный импульс, это только затормозит нейрон, но никак не побудит к действию.

Поэтому мы специально пометили особенный нейрон треугольником. Это группа обычных нейронов. К ним на вход приходят сигналы и от А, и от ?. Но часть нейронов группы принимает сигналы от А с плюсом, а от ? с минусом. Другая часть — наоборот. Следовательно, когда импульс А достаточно больше сигмы, просыпается первая подгруппа, вторая спит. В обратном случае — наоборот. В остальных случаях (когда А и сигма не сильно отличаются) спят обе подгруппы. В простейшем случае в каждой подгруппе по одному нейрону.

Рис. 2.10. Принцип действия обратной связи. а) Пример взаимодействия с нейроном А. Кружочком у нейронов обозначен тормозящий вход, то есть дендрит, где господствуют тормозящие медиаторы. б) Действие обратной связи на нейрон А, в зависимости от разности между активностью нейрона А и активностью сигмы

Результирующее воздействие группы на нейрон А эквивалентно действию простенького разностного элемента (где сигма подаётся на инвертированный вход). Функцию активации легко построить (если вы читаете этот дополнительный материал, то для вас это точно легко). На рисунке приведены графики для случаев, когда функция активации одиночного нейрона — ступенька и сигмоид соответственно. Кстати, в окрестности нуля на втором графике отклик линейно зависит от разности входных сигналов.

Более 800 000 книг и аудиокниг! 📚

Получи 2 месяца Литрес Подписки в подарок и наслаждайся неограниченным чтением

ПОЛУЧИТЬ ПОДАРОК